Acylation & Lipidation Analysis Service
Acylation and lipidation represent essential post-translational modifications that regulate protein localization, stability, and function. By covalently attaching fatty acids or lipid moieties to proteins, these modifications influence signal transduction, membrane interactions, and metabolic pathways. To support both focused mechanistic studies and large-scale modification profiling, MtoZ Biolabs provides a comprehensive Acylation & Lipidation Analysis Service.
1. Target Protein Acylation & Lipidation Analysis
For protein-specific investigations, MtoZ Biolabs offers targeted characterization of acylation and lipidation on individual proteins. Using high-resolution LC-MS/MS, selective enrichment workflows, immunoaffinity-based validation, and lipid-selective chemical derivatization, we identify modification sites, quantify their abundance, and evaluate functional consequences. This approach enables detailed analysis of how individual acylation or lipidation events regulate protein activity, interactions, and membrane association.
2. Acylation & Lipidation Proteomics Analysis
For global profiling, our proteomics workflow integrates advanced enrichment methods, high-throughput LC-MS/MS acquisition, and bioinformatics pipelines to systematically map acylated and lipidated proteins across the proteome. Quantitative and comparative analyses reveal modification patterns under different physiological or stress conditions. Bioinformatics pipelines further integrate experimental results into pathway and network analyses, enabling a deeper understanding of protein regulation.
Our Acylation & Lipidation Analysis Services include:
- N-acetylation Analysis Service
- Propionylation Analysis Service
- Malonylation Analysis Service
- Butyrylation Analysis Service
- β-Hydroxybutyrylation Analysis Service
- 2-Hydroxyisobutyrylation Analysis Service
- Glutarylation Analysis Service
- Methacrylation (Kmea) Analysis Service
- Crotonylation Analysis Service
- Palmitoylation Analysis Service
- S-palmitoylation Analysis Service
- Succinylation Analysis Service
- Lactylation Analysis Service
- Lipoylation Analysis Service
- N-myristoylation Analysis Service
- Benzoylation Analysis Service
- Prenylation Analysis Service
- S-prenylation Analysis Service
What is Acylation?
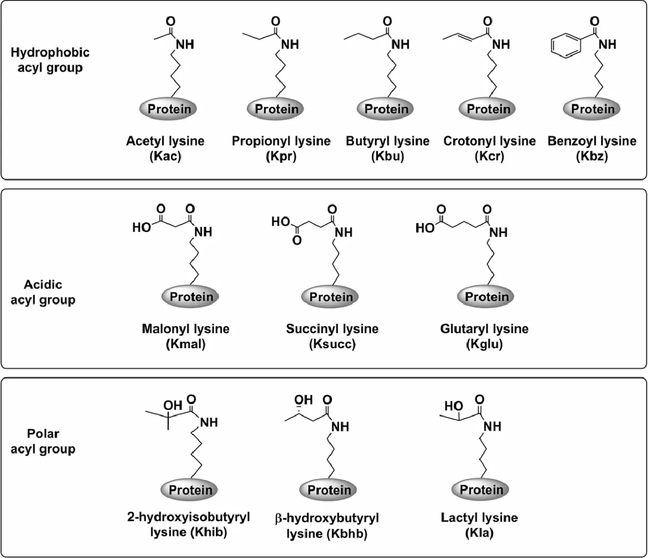
Acylation refers to the covalent addition of acyl groups, typically derived from acyl-CoA, to specific amino acid residues such as lysine, serine, or cysteine. Well-known types include lysine acetylation, malonylation, succinylation, and crotonylation. These modifications regulate chromatin remodeling, transcriptional activity, metabolic enzyme function, and cellular signaling pathways. Acylation plays a central role in gene expression regulation and energy metabolism, and its dysregulation has been associated with cancer, metabolic disorders, and neurodegenerative diseases.

Jiang, G. Y. et al. Cell Death Dis. 2021.
Figure 1. Chemical Structures of Lysine Acylations
What is Lipidation?
Lipidation involves the covalent attachment of hydrophobic lipid moieties, including myristoyl, palmitoyl, farnesyl, or geranylgeranyl groups, to specific amino acids. These modifications usually target cysteine residues or N-terminal glycine, anchoring proteins to membranes or directing them to specific subcellular compartments. Lipidation is essential for protein trafficking, signal transduction, and immune responses, with abnormal regulation linked to infectious diseases, cardiovascular dysfunction, and tumorigenesis.

Xu, M. et al. Mol Cancer. 2025.
Figure 2. Major Types of Protein Lipidation
Acylation and lipidation act as key molecular switches that fine-tune protein function and stability. By altering protein solubility, conformation, interactions, and localization, these modifications integrate metabolic status and environmental cues into cellular processes. Their complementary roles make systematic analysis of acylation and lipidation critical for understanding regulatory networks in health and disease.
Analysis Workflow

Sample Submission Suggestions
1. Sample Types: Cell lysates, tissues, biofluids (plasma, serum, CSF), or purified proteins. For other types, please contact us in advance for tailored preparation guidance.
2. Storage: Snap-freeze samples in liquid nitrogen and store at –80°C.
3. Shipping: Ship on dry ice to maintain modification stability.
4. Replicates: Biological replicates are recommended for statistical reliability.
Service Advantages
✅ Precision: High-resolution LC-MS/MS enables accurate identification and site-level mapping of acylation and lipidation events.
✅ Sensitivity: Optimized enrichment workflows combined with advanced MS platforms ensure reliable detection of low-abundance and transient modifications.
✅ Comprehensiveness: End-to-end solutions covering sample preparation, enrichment, mass spectrometry detection, and bioinformatics.
✅ Customization: Flexible strategies adapted to unique research goals and sample types.
✅ Expertise: A skilled scientific team with extensive experience in proteomics and PTM analysis ensures reliable data interpretation and provides dedicated technical support.
Applications
1. Epigenetic and Metabolic Regulation
Acylation events such as acetylation, succinylation, and crotonylation are central to chromatin remodeling and metabolic enzyme regulation. Their analysis provides insights into transcriptional control, metabolic adaptation, and energy homeostasis.
2. Membrane Biology and Signal Transduction
Lipidation modifications including myristoylation, palmitoylation, and prenylation regulate membrane anchoring, protein trafficking, and receptor signaling. Studying these events helps clarify mechanisms of cellular communication and immune responses.
3. Disease Mechanism Studies
Dysregulation of acylation and lipidation is associated with cancer, cardiovascular disease, neurodegenerative disorders, and infectious diseases. Systematic profiling of these modifications aids in understanding pathological pathways and disease progression.
4. Drug Development
Acylated and lipidated proteins represent potential therapeutic targets. Characterizing these modifications supports the development of inhibitors, modulators, or peptide mimetics with clinical applications.
5. Biomarker Discovery
The identification of acylated and lipidated peptides in biological fluids can serve as diagnostic or prognostic biomarkers, offering translational value for precision medicine.
Deliverables
1. Comprehensive Experimental Details
2. Materials, Instruments, and Methods
3. Total Ion Chromatogram & Quality Control Assessment
4. Data Analysis, Preprocessing, and Estimation
5. Bioinformatics Analysis
6. Raw Data Files
Our Acylation & Lipidation Analysis Service is designed to provide more rapid, high-throughput, and cost-effective analysis, with exceptional data quality and minimal sample consumption. Free project evaluation, welcome to learn more details.


