Adenylylation Analysis Service
Adenylylation (AMPylation) influences protein activity, stability, and interactions, and it has emerged as a key mechanism in signaling regulation, host-pathogen interactions, and cellular stress responses.
MtoZ Biolabs provides a comprehensive Adenylylation Analysis Service integrating LC–MS/MS, chromatographic separation, NMR structural evaluation, and bioinformatics interpretation. Our service encompasses targeted protein validation as well as proteome-wide screening, offering customizable solutions for projects of different scales and objectives.
1. Target Protein Adenylylation Analysis
For projects focused on a specific protein, MtoZ Biolabs offers targeted adenylylation analysis to identify AMPylated residues with site-level precision and to quantify modification levels across experimental conditions. High-resolution LC–MS/MS and optimized chromatographic workflows ensure accurate site assignment, while NMR spectroscopy can be incorporated to assess structural changes induced by AMPylation.
2. Adenylylation Proteomics
Our adenylylation proteomics workflow enables proteome-wide detection and quantitative comparison of AMPylated proteins across diverse biological samples. High-throughput LC–MS/MS acquisition combined with integrated bioinformatics supports global mapping, pathway enrichment, and network interpretation, helping researchers uncover system-level regulatory mechanisms influenced by adenylylation.
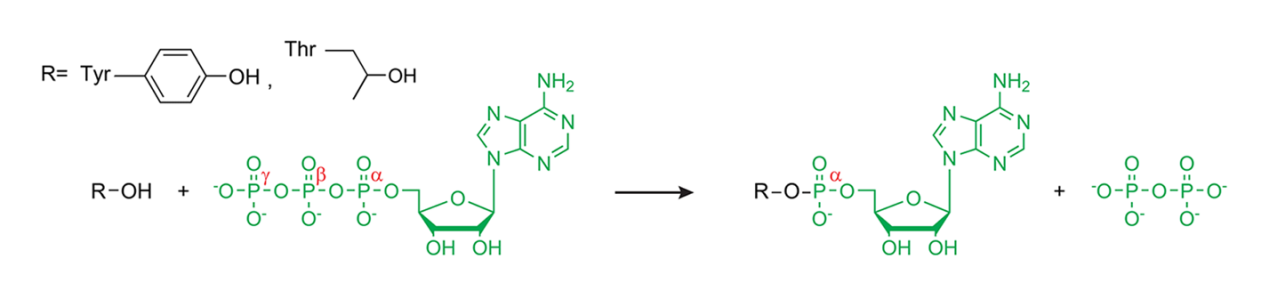
What is Adenylylation?
Adenylylation, also known as AMPylation, is a regulatory post-translational modification in which an adenosine monophosphate (AMP) group is covalently attached to a protein side chain. Adenylylation was first identified in bacterial systems, where Fic domain–containing enzymes catalyze the attachment of AMP to host proteins, altering their activity during infection. In eukaryotic cells, adenylylation is increasingly recognized as a widespread modification with important physiological roles. The modification typically occurs on hydroxyl groups of serine, threonine, or tyrosine residues, mediated by specific transferases that use ATP as the donor molecule.

Hedberg, C. et al. ACS Chem Biol. 2015.
Figure 1. Reaction Scheme of Protein Adenylylation for Threonine and Tyrosine Side Chains
Biologically, adenylylation regulates protein conformation, enzymatic activity, and molecular interactions. For example, it modulates the activity of small GTPases, controlling processes such as vesicular trafficking and cytoskeletal dynamics. Dysregulation of AMPylation has been linked to cellular stress responses, pathogen manipulation of host systems, and potential contributions to cancer and neurodegenerative diseases. Despite its importance, studying adenylylation presents significant challenges due to its relatively low abundance and the need to distinguish it from other nucleotide-based modifications such as ADP-ribosylation. Accurate profiling of adenylylation events is therefore crucial to understanding its mechanistic roles and therapeutic potential.
Analysis Workflow

Sample Submission Suggestions
1. Sample Types
Cell lysates, tissues, biofluids (plasma, serum, CSF), or purified proteins. For other sample types, please contact us in advance for tailored preparation guidance.
2. Storage
Snap-freeze samples in liquid nitrogen and store at –80°C.
3. Shipping
Ship on dry ice to maintain modification stability.
4. Replicates
Biological replicates are recommended for statistical reliability.
Service Advantages
✅ Precision: High-resolution mass spectrometry ensures accurate identification and site-level mapping of AMPylation.
✅ Sensitivity: Optimized enrichment and detection workflows allow analysis of low-abundance modifications.
✅ Comprehensive Coverage: From targeted studies to proteome-wide profiling, we provide complete workflows from sample preparation to data interpretation.
✅ Customization: Flexible experimental designs adapt to diverse sample types and research goals.
✅ Expertise: A skilled team with extensive experience in PTM biology and proteomics ensures professional data interpretation and technical support.
Applications
1. Enzyme Activity Regulation
AMPylation can alter catalytic activity, stability, or substrate specificity of enzymes. Through precise identification and functional annotation, our analysis service helps researchers uncover regulatory mechanisms that control enzymatic efficiency under physiological and pathological conditions.
2. Cellular Signaling
Adenylylation regulates signaling proteins such as small GTPases and transcriptional regulators, influencing pathways that control vesicular transport, cytoskeletal dynamics, and stress responses. Our service enables site-specific mapping and quantification of these modifications, providing insights into how AMPylation shapes cellular communication.
3. Antibiotic Research
Pathogenic bacteria use AMPylation to modify host proteins and subvert immune defenses. By profiling adenylylation events mediated by bacterial Fic-domain enzymes, this service supports the study of host-pathogen interactions and the development of novel antimicrobial strategies.
4. Targeted Therapy Development
Dysregulated AMPylation has been associated with cancer, neurodegeneration, and infection. Our service provides comprehensive datasets that connect adenylylation events to disease pathways, supporting the identification of druggable targets and guiding therapeutic intervention strategies.
Deliverables
1. Comprehensive Experimental Details
2. Materials, Instruments, and Methods
3. Total Ion Chromatogram & Quality Control Assessment
4. Data Analysis, Preprocessing, and Estimation
5. Bioinformatics Analysis
6. Raw Data Files
MtoZ Biolabs' Adenylylation Analysis Service turns AMPylation from a hard-to-track signal into decision-ready evidence. With rigorous site mapping, quantitative readouts, and clear biological context, we help you connect modification events to mechanism and translate findings into targets, biomarkers, and testable hypotheses. Free project evaluation, welcome to learn more details!


